作者:陕师大教师资格证培训中心
添加时间: 2016-06-08 15:43:39内容摘要: 150分满 多少分过 我们都知道教师资格证考试单科是150分;最后的合格线是折合成120分,70分算及格。 看这个公式: 1 首先各科成绩都是有通过率的。每次考试都划定一个通过率,假如陕西这次高中教师
我们都知道教师资格证考试单科是150分;最后的合格线是折合成120分,70分算及格。

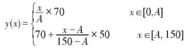
看这个公式:
1.首先各科成绩都是有通过率的。每次考试都划定一个通过率,假如陕西这次高中教师资格证考试,省里划定笔试通过率为30%,那么各科考试都要取前30%,而各科取前30%的最低录取分值都是不一样的,通过这个公式的换算,都按照70分来算。
A 代表某科目的最低分数线,X代表你的成绩。
2.假设综合素质这门科目的前30%的最低分数线为90分,你的分数不到90分就按照公式1来算,假如你得了80分,换算成70分就得到了62分;
3.假如你得到了100分,超过了90分,就按照下边的公式2计算,你最后得到的分数为78分
4.假如你正好得90分,无论公式1还是公式2,换算后都为70分。不信你试试看。
因为最后换算成70分,而根据以往的考试规律,70分的满分线就约为120分;所以我们说满分120分,及格线70分。
而实际上,最终是否能过线,还是要看你150分能得多少分,这才是关键,根据历年的规律来看,过了90分把握比较大,能打到100分就没有太大问题了,大家加油吧。
上一篇:教师资格考试备考技巧
下一篇:教师考试复习记忆技巧
2015-08-29
2015-10-08
2016-02-15
2016-02-15
2016-04-12
