


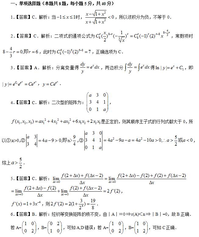
12.【参考答案】符号是数学的语言,是人们进行表示、计算、推理、交流和解决问题的工具.学习数学的目的之一是要使学生懂得符号的意义、会运用符号解决实际问题和数学本身的问题,发展学生的符号感.(1)、创设情境,理解符号意识.(2)、数形结合,树立符号意识.(3)、灵活运用,强化符号意识(4)、鼓励创新,提升符号意识.
13.【参考答案】这一原则要求教师在教学中处理好新知识与旧知识的关系,知识传授与能力发展的关系.其含义有二:(1)要求学生牢固地掌握所学的知识,随时在记忆中再现这些知识.温故而能知新,探新也可习故,应结合新知识的学习巩固旧知识.(2)在传授知识的同时使学生能力得到发展.

四、论述题(本大题1小题,15分)
15.【参考答案】教学有法,但教无定法,我们应明确教学过程的复杂性,根据学生情况、教学内容、教师素质等来选择教学方法.
(1)根据教学目标进行选择
每一节课都有特定的教学目标,教学方法的选择首先要为实现教学目标服务,选择与教学目标相适应的、能够实现教学目标的教学方法.
(2)依据教学内容
教学目标是通过学生在教学过程中掌握特定的知识和方法来实现的.由于各个教学阶段的教学内容不同,不同的学习内容也都有各自的特点,难易程度也不尽相同,有的是概念教学,有的是命题教学,有的是解题教学,因而就要求选取与完成某种教材内容传授任务相适应的教学方法.
(3)依据学生的情况
在教学活动中,学生是学习的主体,教师的“教”,是为了学生的“学”,教学方法要适应学生的基础条件和个性特征.对已有自学能力和自学习惯的学生,可以在学生自学的基础上,针对学生学习中可能遇到的疑难问题,运用有针对性的讲解法;而对于尚无自学能力和自学习惯的学生,则需要经过一段时期的自学辅导训练,以讲解法为主逐步过渡到自学法辅之以重点讲解的教学形式.
另外,选择教学方法还要考虑同一班级中学生的个体差异.在同一班级中,学生的智力发展水平、数学能力、学习习惯、动机和数学基础都不尽相同,因此,选择教学方法应以面向大多学生为主.若班级的整体水平较高,则可多采用讲解、发现、谈话等方法,多用问题引导学生思考,着重于对学生能力的培养;若班级整体水平一般,则可侧重于讲解,辅之谈话法或讨论法;若班级整体水平较低,就要选择讲授为主,适当组织学生活动的方法.目的是使学生树立学习信心,提高学习数学的兴趣,鼓励学生积极参与教学活动过程,逐步提高班级学生的整体水平.
(4)依据教师本身的素养条件和教学条件进行选择
任何教学方法都要由教师来运用,都是在特定条件下才能运用.每一个老师有自己不同的特长、数学素养和教学风格,同时也受到教学条件(教材、教学设备、教学时间和空间等)的制约.教学方法的选用,只有适应教师的素养条件、为教师所掌握,才能发挥作用.有的教学方法虽好,但教师缺乏必要的素养条件,自己驾驭不了,仍然不能在教学实践中产生良好的效果.教学方法具有科学性与艺术性的双重特性,因此,"教学有法,教无定法".教师既要根据教学本身所具有的规律选择和运用教学方法,又要善于对教学方法进行艺术性的再创造,灵活地加以利用.
五、案例分析题(本大题1小题,20分)阅读案例,并回答问题.
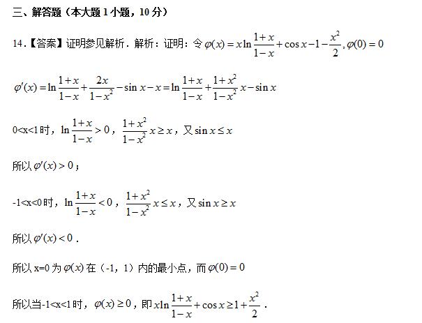
16.【参考答案】在对椭圆定义的讲授中,遵循从生动直观到抽象概括的教学原则和教学途径,通过引导学生亲自动手尝试画图、发现椭圆的形成过程进而归纳出椭圆的定义,培养学生观察、辨析、归纳问题的能力;让椭圆生动灵活地呈现在学生面前,更有助于学生理解椭圆的内涵和外延.
通过画图给学生提供一个动手操作、合作学习的机会;调动学生学习的积极性;多媒体演示向学生说明椭圆的具体画法,更直观形象.
但是,在归纳椭圆定义时,没有让学生来归纳总结,违背了以学生为主体,教师为主导的思想,应该让学生亲自参与到归纳总结中去.
六、教学设计(本大题1小题,20分)
17.【参考答案】
环节一、课题引入
设置问题情景:(利用多媒体课件给出)
一个穷人到富人那里去借钱,原以为富人不愿意,哪知富人一口答应了下来,但提出了如下条件:在一个月(30天)中,富人第一天借给穷人1万元,第二天借给穷人2万元,以后每天所借的钱数都比上一天多一万;但借钱第一天,穷人还1分钱,第二天还2分钱,以后每天所还的钱数都是上一天的两倍,一个月后互不相欠.
穷人听后觉得挺划算,但怕上当受骗,所以很为难.请在座的同学思考一下,帮穷人出个主意吧!
环节二、新课讲授
在上面我们通过分析富人与穷人之间的交易条件,回答下列问题:
问题1:穷人这样在富人那借钱是不是真的划算呢?
问题2:如果穷人觉得不划算的话,会赔多少钱呢?你能不能列出式子呢?

环节四:小结作业
小结:同学讨论总结这节课学习的内容,并提出这节课学习的疑问,并总结等比数列求的公式.
作业:区分等比数列求和与等差数列求和的异同,总结等比数列求和与等差数列求和的公式.
(责任编辑:admin)