
2018年全国教师资格统考高中生物模拟卷二
一、单项选择题(本大题共25小题,每小题2分,共50分)
1.能使我们发出声音的声带,位于下列的哪一个器官内( )。
A.鼻 B.咽 C.喉 D.气管
2.人体的肾脏中,肾单位中的肾小体由什么组成( )。
A.肾小球和肾小管 B.肾小球和肾小囊
C.肾小囊和肾小管 D.肾小球、肾小囊和肾小管
3.下列四种植物中,属于绿色开花植物是( )。
A.海带 B.葫芦藓 C.银杏 D.龙眼
4.下列关于葡萄糖和脂肪的叙述,错误的是( )。
A.脂肪中氧的含量远远低于葡萄糖
B.都能够为细胞合成ATP提供能量
C.都能进入线粒体中参与有氧呼吸
D.两者在人体细胞内可以相互转化
5.关于脂肪的鉴定、DNA的提取、有丝分裂和色素的提取等实验中都涉及酒精,下列叙述错误的是( )。
A.叶绿体色素的提取实验中,可用无水酒精提取并分离色素
B.脂肪的鉴定可用苏丹Ⅲ染液,镜检前须先用50%的酒精洗去浮色
C.有丝分裂实验中用15%的盐酸和体积分数95%的酒精来使组织细胞相互分离
D.DNA的提取实验中,冷却的95%酒精能够降低温度促进DNA的析出,同时也能够溶解杂质


12.蝴蝶为昆虫纲鳞翅目锤角亚目动物的统称,全世界有14000多种。蝴蝶幼虫嗜食叶片,成虫大部分吸食花蜜。下列有关叙述错误的是( )。
A.16平方米草地上有8只蝴蝶可以表示蝴蝶的种群密度
B.若调查一长方形地块中某蝴蝶幼虫的种群密度,可用等距取样法取样
C.诱捕某种蝴蝶的雄性个体,会降低该种蝴蝶的种群密度
D.蝴蝶属于初级消费者,能加快生态系统的物质循环
13.下列有关群落演替和生态系统的叙述,错误的是( )。
A.生态系统的物质循环具有全球性,通过光合作用和呼吸作用可完成碳的全球化循环
B.海洋生态系统的无机环境条件相对陆地生态系统比较稳定,所以生物进化速度较慢
C.随着群落演替的进行,不同时期群落中的优势种群在发生更替,能量传递效率保持相对稳定
D.我国大力发展工农业生产,往往使群落演替按照不同于自然演替的方向和速度进行
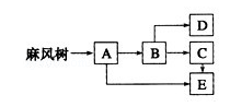
14.如图是麻风树林中两个营养级的能量流动图解,已知麻风树同化的总能量为N。方框中字母代表能量,下列叙述不正确的是( )。

A.从麻风树注入下一营养级的能量传递效率为B/N
B.D是指呼吸作用消耗的能量
C.B是第二营养级用于生长发育和繁殖的能量
D.该图解中不包含非生物的物质和能量
15.限制酶BamHⅠ和BglⅡ是两种常见的工具酶,它们的识别序列及切割位点依次为G↓GATCC和A↓GATCT.研究中用BamHⅠ切割DNA获得目的基因,用BglⅡ切割质粒,并连接得到重组质粒。相关叙述正确的是( )。
A.限制酶作用DNA过程中将碱基对之间的氢键切断
B.目的基因经BamHⅠ切割后形成的黏性末端是﹣CTAGG
C.经两种酶处理得到的重组质粒不能再被这两种酶所识别
D.分别用两种限制酶切割,保证了目的基因定向插入质粒

17.下列有关基因突变的叙述正确的是( )。
A.基因突变不一定引起遗传信息的改变
B.性染色体上的基因突变一定会遗传给子代
C.物理、化学、生物因素都可能引起碱基对的改变
D.基因突变会导致基因频率发生改变,与环境变化有明确的因果关系
18.如图为人体激素作用于靶细胞的两种机理示意图,说法错误的是( )。

A.激素B不直接进入细胞就能起作用
B.激素A可能是胰岛素等大分子类激素直接进入细胞内起作用
C.某个靶细胞可能同时存在上述两种作用机理
D.由上图可知激素只是一种信号分子,启动和调节相应的生理过程
19.如图中的甲、乙、丙分别代表人体液中物质交换、食物网中能量流动、生态系统碳循环的示意图.据此,下列说法中正确的是( )。

A.甲图D与B间不能直接进行物质交换,D与A之间才能直接进行物质交换
B.因捕食关系而建立的食物链中,能量最少的是丙图中的B所处的营养级
C.从研究内容来看,甲和乙、丙分别属于生命系统的个体水平、群落水平和群落水平
D.乙图中B取食A占的比例由1/2调整为5/6,则A供养的B数量是原来的2.2倍(能量传递效率按10%计算)
20.有关纯化大肠杆菌实验操作的叙述,不正确的是( )。
A.在第二区域内划线时,接种环上的菌种直接来源于菌液
B.第一步灼烧接种环是为了避免接种环上可能存在的微生物污染培养物
C.每次划线前,灼烧接种环是为了杀死上次划线结束后接种环上残留的菌种
D.划线结束后,灼烧接种环能及时杀死接种环上的菌种,避免细菌污染环境和感染操作者
21.生物教学中,能真实反应生物体形态结构特征和部分过程性特征;不受时间和空间的限制的直观教具是( )。
A.模型 B.标本 C.实物 D.替代物
22.以下教学活动中,体现了合作学习教学策略的是( )。
A.课前组织学生观看动物求偶视频片断
B.将学生分组在显微镜下观察永久装片
C.课堂上与学生一起讨论传染病的预防措施
D.对学生进行分组,让每个组分别进行实验,探索淀粉酶对淀粉和蔗糖的水解作用,并交流实验现象、实验结论
23.下列哪项不是教学评价的基本原则( )。
A.客观性原则 B.主体性原则 C.指导性原则 D.发展性原则
24.所示题目的评价层次属于( )。
“请简要分析植物的光合作用与呼吸作用的联系。”
A.知道 B.识记 C.理解 D.应用
25.学生能够理解生物学的概念体系,理解科学探究过程的知识与技能,能够用自己的话来解释概念,这属于( )。
A.肤浅的生物学素养 B.功能化的生物学素养
C.结构化的生物学素养 D.多维的生物学素养
二、简答题(本大题共2小题,每题15分,共30分)
26.如图为突触的结构,并在a、b两点连接一测量电位变化的灵敏电流计。据图回答:

(1)图示的结构涉及________个神经元,含有________个突触。
(2)如果B受刺激,C会兴奋,如果A、B同时受刺激,C不会兴奋。由此判断A、B释放递质的性质依次是________、________。
(3)细胞合成的递质,经过________加工,形成突触小泡,释放到突触间隙,与突触后膜上相应的“受体”结合,引起反应。“受体”的化学本质是________。
(4)如图,已知ab=bd,则刺激b点,灵敏电流计指针偏转________次,如刺激c点,则偏转________次。
27.图1表示番茄叶肉细胞的两个重要生理过程中C、H、O的变化,图2为大棚中番茄叶肉细胞部分代谢过程示意图,请据图回答:

(1)图1甲过程中“Ⅰ”是________,其在________(答具体结构)上产生;该物质用于乙过程的________阶段,该阶段所发生的场所是________(答具体结构)。
(2)图2中细胞器a是________,物质④是________。光照充足条件下理论上可以完成的过程有________(用字母表示)。

三、材料分析题(本大题共2小题,每小题20分,共40分)阅读材料,并回答问题。
28.阅读下面案例材料,回答问题。
林老师为了上好《细胞的结构》一课,精心制作了PPT,并准备了细胞模型、三张挂图和视频材料。课前林老师将这些教具摆放、悬挂好后,马上吸引了许多学生围观。课上他先是播放了视频材料,接着他展示了细胞模型,因为模型过小,后面的同学伸长脖子也看不清;然后他不断翻着PPT,却没有适时做出讲解。下课铃响了,准备好的PPT还没翻完。课后学生们反映说:“我们忙着看这看那,老师讲什么没听清,而且有的PPT白色背景上浅色的字很模糊。”
问题:
(1)材料中的林老师在教学过程中存在哪些问题?
(2)谈谈在教学过程中教师如何提高知识直观的效果。
29.下面是某教师关于“探究植物细胞的吸水和失水”教学设计思路:
本课先在多媒体上展示几种生活现象,夏天家里做凉拌黄瓜时会有水出现,腌萝卜条时撒上一些盐时会出水,而卖菜的阿姨会在青菜上洒一些水会使菜显得硬挺,这些现象说明了什么?从而引发学生思考,顺利引入新课。进而追问:植物细胞的吸水和失水和动物细胞的吸水和失水一样吗?接着让全班同学以小组为单位,提出问题—作出假设—设计实验—制订计划—实施计划—得出结论。最后各个小组汇报探究结果,进行全班交流。通过这些活动由师生共同得出植物细胞失水和吸水的原理。
(1)在上述材料中,该教师主要用了哪些变化技能?
(2)简要说明变化技能的应用原则与要点。
四、教学设计题(本大题1小题,30分)
30.阅读以下材料,回答问题。
材料一:以下为某教师在“生命活动的主要承担着——蛋白质”教学中的片段。
首先播放《蜘蛛侠》的片段,问:电影中的主人公是谁?他最有力的武器是什么?
展示:(1)黑寡妇图片,黑寡妇蜘蛛因为它蛛丝中的“蛛丝蛋白”使得它的蛛丝的强度异常的高。
(2)荧光水母的照片。问:这是什么生物?为什么它们能发出美丽的荧光?
问:从这些画面中我们荧光不难发现,这些神奇的生命现象是有谁来承担的?引出今天这节课的主题。
材料二:《普通高中生物课程标准(实验)》关于“蛋白质的结构功能”具体要求是:引导学生理解蛋白质是生命结构和性状的体现者以及归纳出氨基酸及基本结构。通过引导学生观察,分析等,最终引导学生自主归纳蛋白质的知识体系,进一步培养学生的归纳综合能力。某教材首先通过利用学生日常生活摄入大量有关富含蛋白质的食物开始,通过层层提出问题,推出蛋白质、氨基酸的探究,随后推出两者之间的关系以及解决蛋白质结构多种多样的原因。
根据材料回答问题:
(1)本材料中的这位教师采用了哪些基本教学技能。
(2)依据上述,确定本节课的教学目标并结合确定的教学目标,围绕蛋白质功能设计一个能体现培养学生自主归纳能力,教师发挥引导者作用的一个教学活动。
(责任编辑:admin)